SOLUTION: (a^1/2b)^1\2(ab^1/2) This is what I came up with next then I'm stuck a^2/4b^1/2(ab^1/2)

Algebra ->  Exponents-negative-and-fractional -> SOLUTION: (a^1/2b)^1\2(ab^1/2) This is what I came up with next then I'm stuck a^2/4b^1/2(ab^1/2)      Log On


   



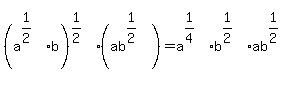
Question 843642: (a^1/2b)^1\2(ab^1/2)
This is what I came up with next then I'm stuck
a^2/4b^1/2(ab^1/2)

Answer by Fombitz(32388) About Me  (Show Source):
You can put this solution on YOUR website!
Multiplying same base, exponents add.
Exponents to a power, multiply.
%28a%5E%281%2F2%29b%29%5E%281%2F2%29=a%5E%281%2F4%29%2Ab%5E%281%2F2%29
So then,


%28a%5E%281%2F2%29b%29%5E%281%2F2%29%2A%28ab%5E%281%2F2%29%29=a%5E%285%2F4%29%2Ab