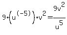
SOLUTION: Rewrite the expression using only positive exponents. 9(u^-5)v^2
Algebra
->
Exponents-negative-and-fractional
-> SOLUTION: Rewrite the expression using only positive exponents. 9(u^-5)v^2
Log On
Algebra: Negative and Fractional exponents
Section
Solvers
Solvers
Lessons
Lessons
Answers archive
Answers
Click here to see ALL problems on Exponents-negative-and-fractional
Question 804233
:
Rewrite the expression using only positive exponents.
9(u^-5)v^2
Answer by
tommyt3rd(5050)
(
Show Source
):
You can
put this solution on YOUR website!