SOLUTION: I really need help on how to do this. (x-1)^2/3-25=0 Thank you! Melissa

Algebra ->  Exponents-negative-and-fractional -> SOLUTION: I really need help on how to do this. (x-1)^2/3-25=0 Thank you! Melissa      Log On


   



Question 705833: I really need help on how to do this.
(x-1)^2/3-25=0
Thank you!
Melissa

Found 2 solutions by Alan3354, MathLover1:
Answer by Alan3354(69443) About Me  (Show Source):
You can put this solution on YOUR website!
(x-1)^2/3-25=0
-------------
If 2/3 is the exponent:
(x-1)^2/3-25=0
(x-1)^2/3 = 25
Cube both sides
(x-1)^2 = 25^3
(x-1)^2 = 5^6
Take the square root
x - 1 = 5^3 = 125
x = 126

Answer by MathLover1(20850) About Me  (Show Source):
You can put this solution on YOUR website!

%28x-1%29%5E2%2F3-25=0

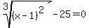
root%283%2C%28x-1%29%5E2%29-25=0

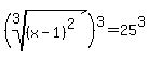
root%283%2C%28x-1%29%5E2%29=25.....both sides raise to power of three

%28root%283%2C%28x-1%29%5E2%29%29%5E3=25%5E3

%28x-1%29%5E2=15625.....take square root of both sides

sqrt%28%28x-1%29%5E2%29=sqrt%2815625%29

x-1=125

x=125%2B1

x=126