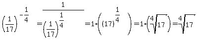
SOLUTION: Can you please evaluate this expression? (1/17)-1/4. The -1/4 is the negative exponent with (1/17) as the base.

Algebra ->  Exponents-negative-and-fractional -> SOLUTION: Can you please evaluate this expression? (1/17)-1/4. The -1/4 is the negative exponent with (1/17) as the base.      Log On


   



Question 680287: Can you please evaluate this expression? (1/17)-1/4. The -1/4 is the negative exponent with (1/17) as the base.
Answer by ReadingBoosters(3246) About Me  (Show Source):
You can put this solution on YOUR website!

.....................
Have more questions? Get them all done at once.
Email: HomeworkHelpers@readingboosters.com
Delighted to help.
-Reading Boosters
Website: www.MyHomeworkAnswers.com
Wanting for others what we want for ourselves.