SOLUTION: Add. Express your answer in simplest form.
x-13 + 3x-3
---- -----
x^2-x-12 x^2-x-12
the denominator is the same, so I'm sure this is simple and I am mak
Algebra ->
Exponents-negative-and-fractional
-> SOLUTION: Add. Express your answer in simplest form.
x-13 + 3x-3
---- -----
x^2-x-12 x^2-x-12
the denominator is the same, so I'm sure this is simple and I am mak
Log On
Question 62693This question is from textbook Beginning Algebra
: Add. Express your answer in simplest form.
x-13 + 3x-3
---- -----
x^2-x-12 x^2-x-12
the denominator is the same, so I'm sure this is simple and I am making harder than it is. This question is from textbook Beginning Algebra
You can put this solution on YOUR website! x-13 + 3x-3
---- -----
x^2-x-12 x^2-x-12
---------------------------
The denominators are the same, so add the numerators, as follows:
----------
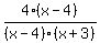
[4x-16]/[x^2-x-12]
=[4(x-4)]/[(x-4)(x+3)]
Cancel the (x-4) factors to get:
=4/(x+3)
---------
Cheers,
Stan H.
You can put this solution on YOUR website!
Make it into one fraction
Combine like terms in the numerator
factor numerator and denominator
Reduce the fraction