SOLUTION: Can you help me solve this problem please? In () I have the following fraction, ((12x^-3)(z^4)/3xz^-4)^-3 If it were a word problem I would read it as, open parentheses, twel

Algebra ->  Exponents-negative-and-fractional -> SOLUTION: Can you help me solve this problem please? In () I have the following fraction, ((12x^-3)(z^4)/3xz^-4)^-3 If it were a word problem I would read it as, open parentheses, twel      Log On


   



Question 624205: Can you help me solve this problem please?
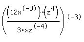
In () I have the following fraction, ((12x^-3)(z^4)/3xz^-4)^-3
If it were a word problem I would read it as, open parentheses, twelve x to the negative three power, z to the fourth power, divided by three x z to the negative four power, close parentheses to the negative three power.
I'm unsure how to start the problem. Can I cancel the 12x^-3 and 3x^2? Or do I have to immediately move the 12x^-3 to the denominator because its a negative exponent?

Answer by Alan3354(69443) About Me  (Show Source):
You can put this solution on YOUR website!
%28%2812x%5E-3%29%28z%5E4%29%2F3xz%5E-4%29%5E-3+
-----------
You can't solve it, it's not an equation.
You can simplify it.
-----------
You can do whatever's "legal" in any order.
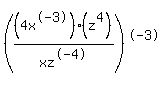
Cancel the 3's
= %28%284x%5E-3%29%28z%5E4%29%2Fxz%5E-4%29%5E-3
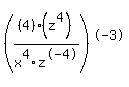
Multiply NUM and DEN by x^3
= %28%284%29%28z%5E4%29%2Fx%5E4z%5E-4%29%5E-3
Multiply by z^4
= %284z%5E8%2Fx%5E4%29%5E-3
Invert and change the -3 to +3
= %28x%5E4%2F%284z%5E8%29%29%5E3
Raise to 3rd power
= x%5E12%2F64z%5E24