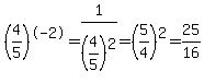
SOLUTION: how would i go about solcing (4/5) ^-2
Algebra
->
Exponents-negative-and-fractional
-> SOLUTION: how would i go about solcing (4/5) ^-2
Log On
Algebra: Negative and Fractional exponents
Section
Solvers
Solvers
Lessons
Lessons
Answers archive
Answers
Click here to see ALL problems on Exponents-negative-and-fractional
Question 601024
:
how would i go about solcing (4/5) ^-2
Answer by
Alan3354(69443)
(
Show Source
):
You can
put this solution on YOUR website!
how would i go about solcing (4/5) ^-2
-----------------
There's no variable and no equal sign, so there's nothing to solve.
You can simplify it.