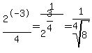
SOLUTION: 2^-3/4 and the answer is supposed to be the 4 root of 1/8th. I get 1 over the 4th root of 8. How do I get from 1 over the 4th root of 8 to the 4th root of 1/8th?

Algebra ->  Exponents-negative-and-fractional -> SOLUTION: 2^-3/4 and the answer is supposed to be the 4 root of 1/8th. I get 1 over the 4th root of 8. How do I get from 1 over the 4th root of 8 to the 4th root of 1/8th?      Log On


   



Question 590328: 2^-3/4 and the answer is supposed to be the 4 root of 1/8th. I get 1 over the 4th root of 8. How do I get from 1 over the 4th root of 8 to the 4th root of 1/8th?
Answer by Alan3354(69443) About Me  (Show Source):
You can put this solution on YOUR website!
2^-3/4 and the answer is supposed to be the 4 root of 1/8th. I get 1 over the 4th root of 8. How do I get from 1 over the 4th root of 8 to the 4th root of 1/8th?
--------------
2%5E-3%2F4+=+1%2F2%5E%283%2F4%29+=+1%2Froot%284%2C8%29
= root%284%2C1%29%2Froot%284%2C8%29
= root%284%2C%281%2F8%29%29 same thing