SOLUTION: I am having a hard time with this question can someone help me? My question is this What is the value of jin the equation the square root of j+ the square root of j+14=3 to the squ

Algebra ->  Exponents-negative-and-fractional -> SOLUTION: I am having a hard time with this question can someone help me? My question is this What is the value of jin the equation the square root of j+ the square root of j+14=3 to the squ      Log On


   



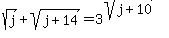
Question 5768: I am having a hard time with this question can someone help me? My question is this What is the value of jin the equation the square root of j+ the square root of j+14=3 to the square root of j+10? Please if someone can help it would be really appreciated!
Answer by longjonsilver(2297) About Me  (Show Source):
You can put this solution on YOUR website!
sqrt%28j%29+%2B+sqrt%28j%2B14%29+=+3%5E%28sqrt%28j%2B10%29%29?? or do you mean cube root of (j+10)?

jon.