SOLUTION: Ive been stuck on this problem for almost 2 weeks now. I just cannot seem to find an example related enough to convince me that I am doing this correctly. Can you please help me? T

Algebra ->  Exponents-negative-and-fractional -> SOLUTION: Ive been stuck on this problem for almost 2 weeks now. I just cannot seem to find an example related enough to convince me that I am doing this correctly. Can you please help me? T      Log On


   



Question 53752This question is from textbook Elementary and Intermediate Algebra
: Ive been stuck on this problem for almost 2 weeks now. I just cannot seem to find an example related enough to convince me that I am doing this correctly. Can you please help me? The problem is:
(x^2y^-3z)^1/2 / x^1/2yz^-1/2
The answer Ive come to is
x1/y^3/2z^1/2 / x^1/2y1/z^2
am I even close??
This question is from textbook Elementary and Intermediate Algebra

Answer by Earlsdon(6294) About Me  (Show Source):
You can put this solution on YOUR website!
Let's see, you want to simplify:
%28%28x%5E2y%5E%28-3%29z%29%5E%281%2F2%29%29%2F%28x%5E%281%2F2%29yz%5E%28-1%2F2%29%29
Let's do the numerator first: Multiply every exponent inside the parentheses by the exponent outside the parentheses.
%28x%5E2y%5E%28-3%29z%29%5E%281%2F2%29+=+xy%5E%28-3%2F2%29z%5E%281%2F2%29
So, now we have:
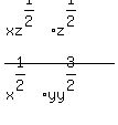
%28xy%5E%28-3%2F2%29z%5E%281%2F2%29%29%2F%28x%5E%281%2F2%29yz%5E%28-1%2F2%29%29 Move factors in the numerator with negative exponents down to the denominator to make the exponents positive and factors in the denominator with negative exponents up to the numerator to make the exponents positive.
%28xz%5E%281%2F2%29z%5E%281%2F2%29%29%2F%28x%5E%281%2F2%29yy%5E%283%2F2%29%29 Now simplify this.
%28x%5E%281%2F2%29z%29%2Fy%5E%285%2F2%29