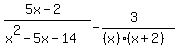
SOLUTION: {{{(5x-2)/(x^2-5x-14) - (3)/(x^2+2x)}}} Solve.

Algebra ->  Exponents-negative-and-fractional -> SOLUTION: {{{(5x-2)/(x^2-5x-14) - (3)/(x^2+2x)}}} Solve.      Log On


   



Question 42752: %285x-2%29%2F%28x%5E2-5x-14%29+-+%283%29%2F%28x%5E2%2B2x%29 Solve.
Answer by PaulAllen65270(19) About Me  (Show Source):
You can put this solution on YOUR website!
First you need to find the LCD of the fraction to do this you have to factor each of the fractions.
%285x-2%29%2F%28x%5E2-5x-14%29+-+%283%29%2F%28x%5E2%2B2x%29 The second fraction you can factor an x out of each
%285x-2%29%2F%28x%5E2-5x-14%29+-+%283%29%2F%28%28x%29%28x%2B2%29%29 The other fraction can be factored (x-7)(x+2)
%285x-2%29%2F%28%28x-7%29%28x%2B2%29%29+-+%283%29%2F%28%28x%29%28x%2B2%29%29 Now you can compare the two and find the LCD which is (x(x-7)(x+2))
Now you can do the multiplication
Now you can combine the two fractions
%285x%5E2-2x-3x%2B21%29%2F%28%28x%29%28x-2%29%28x-7%29%29 Now combine like terms
%285x%5E2-5x%2B21%29%2F%28%28x%29%28x-2%29%28x-7%29%29 Now you need to factor the top to see if you can reduce the fraction
Which it can't factor so that would be your answer.