SOLUTION: how do you write this without exponents (1/32)^-2/5 and 81^-3/4

Algebra ->  Exponents-negative-and-fractional -> SOLUTION: how do you write this without exponents (1/32)^-2/5 and 81^-3/4      Log On


   



Question 399122: how do you write this without exponents
(1/32)^-2/5
and
81^-3/4

Answer by jsmallt9(3758) About Me  (Show Source):
You can put this solution on YOUR website!
If you have trouble with negative and/or fractional exponents I find find it can be helpful to factor the exponent in a certain wayL
  1. If the exponent is negative, then factor out -1.
  2. If the exponent is fractional and the numerator is not a 1, then factor out the numerator.

Each factor of the factored exponent tells us an operation that should be performed.

Let's see how this works:
%281%2F32%29%5E%28-2%2F5%29
The exponent is negative so we will factor out -1:
%281%2F32%29%5E%28-1%2A%282%2F5%29%29
The exponent is fractional and the numerator is not a 1. So we factor out the numerator, 2:
%281%2F32%29%5E%28-1%2A2%2A%281%2F5%29%29
Now that the exponent is factored we look at each factor:
  • The -1 as an exponent tells us that we will find a reciprocal.
  • The 2 as an exponent tells us that we will be squaring.
  • The 1/5 as an exponent, if you remember what fractional exponents mean, tells us that we will be finding a 5th root.

And since multiplication is Commutative we can do these operations in any order we choose! So let's see if we can find an order that will make this easy.

The reciprocal of 1/32 is 32/1 or 32. This is not only easy to do but it will mean the rest of the operations will be done on a nice whole number! So it looks like starting with the reciprocal is best.

Next we either square 32 or find its 5th root. Finding a 5th root is not always easy. But since 32=2%5E5, finding the 5th root of 32 is easy. (At least it is easier than finding the 5th root of whatever 32 squared is.) So we will find the 5th root second and finish by squaring:
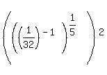
%281%2F32%29%5E%28-1%2A%281%2F5%29%2A2%29
%28%28%281%2F32%29%5E%28-1%29%29%5E%281%2F5%29%29%5E2%29
%28%2832%29%5E%281%2F5%29%29%5E2
%282%29%5E2
4

See if you can do the second problem on your own. Hints:
  • Do the reciprocal last so you don't get a fraction until the very end.
  • 81+=+3%5E4 so finding a 4th root of 81 is easy.