Question 388136: Find all real solutions to each equation.
28. x^(2/3)=(1/2)
29.w^(-4/3)=16
Answer by jsmallt9(3758) (Show Source):
You can put this solution on YOUR website! 28. 
The solution to this equation will look like:
x = some-number
The exponent on the x above is 1. So solving the original equation will require that we find some way to change the exponent on x from 2/3 to 1. We have rules for how to change exponents properly:
If we try to use either of the first two rules we would have to multiply or divide both sides of the equation by a power of x. This would result in x with a fractional exponent on the right side. This is not going to help. But we can use the third rule and raise both sides of the equation to a power. This will not introduce an x to the right side of the equation.
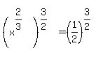
So now we have to figure out what power to use. We want the exponent on x to turn into a 1. And we know that this exponent will be the result of multiplying 2/3 times the power we raise each side of the equation to. In other words, 2/3 times what number gives us a 1? You should know that products of reciprocals are always 1's. So we want to raise each side of the equation to the reciprocal of 2/3 power. The reciprocal is 2/3 is 3/2.

The left side turns into x, just like we planned. Now we just have to simplify the right side. Negative and fractional exponents can be tricky at first. If you find them difficult, I find it helps to factor the exponents in s special way:- If the exponent is negative, factor out a -1.
- If the exponent is a fraction whose numerator is not a 1, then factor out the numerator. (You'll see what this means in a moment.)
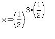
So we factor out the 3 of 3/2 on the right side:

With the exponent factored we can see what it will take to simplify the right side. The 3 tells us we will be cubing and the 1/2, as an exponent, tells us we will be finding a square root. And we can do these two operations in any order we choose! Since finding the square root of 1/2 does not look appealing I am going to start with the cubing and then do the square root:

So is the solution.
29. 
Using the same logic as above, we want to raise each side to the reciprocal of -4/3 power:

Again we will factor the exponent on the right:

The -1 tells us that we will be finding a reciprocal, the 3 tells us we will be cubing and the 1/4 tells us we will be finding a 4th root. The reciprocal of 16 is a fraction, 1/16, and fractions are more difficult to work with so I'll save the reciprocal for later. The prospect of cubing 16 is not appealing so I don't want to start with that, either. But, since , finding the 4th root of 16 is rather easy. So the order I choose is 4th root, then cubing and last a reciprocal. (Note: No matter what order you choose the answer is the same! Choosing an order only makes it easier (or harder).)

So w = 1/8 is the solution.
|
|
|