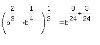
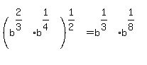
SOLUTION: (b^2/3*b^1/4)^1/2
Algebra
->
Exponents-negative-and-fractional
-> SOLUTION: (b^2/3*b^1/4)^1/2
Log On
Algebra: Negative and Fractional exponents
Section
Solvers
Solvers
Lessons
Lessons
Answers archive
Answers
Click here to see ALL problems on Exponents-negative-and-fractional
Question 375701
:
(b^2/3*b^1/4)^1/2
Answer by
Fombitz(32388)
(
Show Source
):
You can
put this solution on YOUR website!
.
.
.
.
.
.