SOLUTION: Hi! Could you help me figure this question out? 12^-3*2^10*12^0 I have tried many ways but i always come out with 2^10*12^0/12^-3 Thanks alot!

Algebra ->  Exponents-negative-and-fractional -> SOLUTION: Hi! Could you help me figure this question out? 12^-3*2^10*12^0 I have tried many ways but i always come out with 2^10*12^0/12^-3 Thanks alot!      Log On


   



Question 327572: Hi! Could you help me figure this question out?
12^-3*2^10*12^0
I have tried many ways but i always come out with 2^10*12^0/12^-3
Thanks alot!

Found 2 solutions by Fombitz, Alan3354:
Answer by Fombitz(32388) About Me  (Show Source):
Answer by Alan3354(69443) About Me  (Show Source):
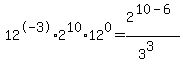
You can put this solution on YOUR website!
12^-3*2^10*12^0
I have tried many ways but i always come out with 2^10*12^0/12^-3
------------
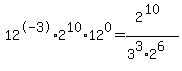
12%5E-3%2A2%5E10%2A12%5E0
Anything to the power of zero = 1, so eliminate that
= 12%5E-3%2A2%5E10
= 2%5E10%2F12%5E3
= 1024/1728
= 16/27