SOLUTION: I need help with the following. The negative exponents in the denominator are throwing me.... {{{xy^2 - 3xy/y^(-1) + 2x^0y^2/x^(-1) - 4x^2/(y^2) + 2x^2y^(-2)}}}

Algebra ->  Exponents-negative-and-fractional -> SOLUTION: I need help with the following. The negative exponents in the denominator are throwing me.... {{{xy^2 - 3xy/y^(-1) + 2x^0y^2/x^(-1) - 4x^2/(y^2) + 2x^2y^(-2)}}}      Log On


   



Question 31253This question is from textbook Saxon Algebra 1
: I need help with the following. The negative exponents in the denominator are throwing me....
This question is from textbook Saxon Algebra 1

Answer by mbarugel(146) About Me  (Show Source):
You can put this solution on YOUR website!
You can use the following rule to get rid of negative exponents:
X%5E%28-n%29+=+1%2F%28X%5En%29
or equivalently:
1%2FX%5E%28-n%29+=+X%5En
So you can make the exponent positive, but you must also change the X value to its reciprocal. For example,
3%5E%28-2%29+=+1%2F3%5E2+=+1%2F9
1%2F3%5E%28-2%29+=+3%5E2+=+9
Let's apply this rule to your equation, and "convert" all the exponents to positive numbers:

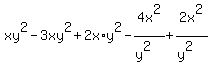
This is the same as:
xy%5E2+-+3xy%5E2+%2B+2x%2Ay%5E2+-+4x%5E2%2F%28y%5E2%29+%2B+2x%5E2%2F%28y%5E2%29
The first 3 terms cancel out. So we're left just with:
-+4x%5E2%2F%28y%5E2%29+%2B+2x%5E2%2F%28y%5E2%29+=+-2x%5E2%2F%28y%5E2%29
We can further reduce this by grouping x^2 and y^2:
-2%28x%2Fy%29%5E2
And this is as far as we can go.

I hope this helps!
Get more answers at Online Math Answers.com!