SOLUTION: Can you please help me to solve {{{(6x^-2y^2/xy^-3)*((4x^2y)^-2/xy^2)}}}. I just started this chapter and I really don't get how to do it and my math teacher is taking a grade on M

Algebra ->  Exponents-negative-and-fractional -> SOLUTION: Can you please help me to solve {{{(6x^-2y^2/xy^-3)*((4x^2y)^-2/xy^2)}}}. I just started this chapter and I really don't get how to do it and my math teacher is taking a grade on M      Log On


   



Question 27152: Can you please help me to solve %286x%5E-2y%5E2%2Fxy%5E-3%29%2A%28%284x%5E2y%29%5E-2%2Fxy%5E2%29. I just started this chapter and I really don't get how to do it and my math teacher is taking a grade on Monday can you please help me and fast.
Answer by askmemath(368) About Me  (Show Source):
You can put this solution on YOUR website!
Remember that X%5E%28-1%29 = 1%2Fx and vice-versa.
So now re-arranging the given problem, keepin in mind the above statement
%286y%5E3y%5E2%2Fxx%5E2%29%2A%281%2Fxy%5E2%284x%5E2y%29%5E2%29
Adding the exponents for the common terms
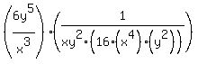
%286y%5E5%2Fx%5E3%29%2A%281%2Fxy%5E2%2816%28x%5E4%29%28y%5E2%29%29%29
Can you solve it from here??