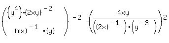
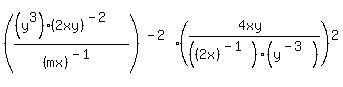
SOLUTION: what is the answer to 2xy to the negative second power times y to the fourth power divided by mx to the negative first power times y and all of that to the negative second power. t

Algebra ->  Exponents-negative-and-fractional -> SOLUTION: what is the answer to 2xy to the negative second power times y to the fourth power divided by mx to the negative first power times y and all of that to the negative second power. t      Log On


   



Question 26312: what is the answer to 2xy to the negative second power times y to the fourth power divided by mx to the negative first power times y and all of that to the negative second power. times... 4xy divided by 2x to the negative first power times y to the negative third power and all of that to the second power. ? thanks!
Answer by longjonsilver(2297) About Me  (Show Source):
You can put this solution on YOUR website!




+%28+%282xy%29%5E4+%284xy%29%5E2%29%2F%28%28mx%29%5E2+%282x%29%5E%28-2%29+%29
+%28+%282xy%29%5E4+%284xy%29%5E2+%282x%29%5E2+%29%2F%28+%28mx%29%5E2+%29
+%28+2%5E4x%5E4y%5E4+%2A+4%5E2x%5E2y%5E2+%2A+2%5E2x%5E2%29%2F%28+m%5E2x%5E2+%29
+%28+16x%5E4y%5E4+%2A+16x%5E2y%5E2+%2A+4x%5E2%29%2F%28+m%5E2x%5E2+%29
+%28+1024x%5E4y%5E4+%2A+x%5E2y%5E2+%2A+x%5E2%29%2F%28+m%5E2x%5E2+%29
+%28+1024x%5E8y%5E4+%2A+y%5E2+%29%2F%28+m%5E2x%5E2+%29
+%28+1024x%5E8y%5E6+%29%2F%28+m%5E2x%5E2+%29
+%28+1024x%5E6y%5E6+%29%2F%28+m%5E2+%29

this is the answer (given that my understanding of your question is correct)

you could collect powers together eg %28xy%29%5E6

jon.