Question 262392: I need help with this problem:
Write with positive exponents (3^-2 a^-2 b^5)over (c^-3 d^-4).
Thanks
Found 4 solutions by drk, jim_thompson5910, richwmiller, Theo: Answer by drk(1908) (Show Source): Answer by jim_thompson5910(35256) (Show Source): Answer by richwmiller(17219) (Show Source): Answer by Theo(13342) (Show Source):
You can put this solution on YOUR website! your expression is:
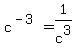
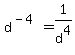
in general, =
your equation becomes:
this can be simplified to:
if we multiply this by , we get:
which becomes:
we confirm by substituting values for a,b,c,d in both the original equation and the final equation to see if we get the same answer.
we will let:
a = 2
b = 3
c = 4
d = 5
original equation is:
substituting, this becomes:
= 270,000
final equation is:
substituting, this becomes:
= 270,000
since they both equal the same value, the simplification is good.
your answer is:
becomes
|
|
|