SOLUTION: how do you solve for x in this problem: .30 = 7-50+45(1+x)^-.25

Algebra ->  Exponents-negative-and-fractional -> SOLUTION: how do you solve for x in this problem: .30 = 7-50+45(1+x)^-.25      Log On


   



Question 232755: how do you solve for x in this problem: .30 = 7-50+45(1+x)^-.25
Found 2 solutions by jsmallt9, Alan3354:
Answer by jsmallt9(3758) About Me  (Show Source):
You can put this solution on YOUR website!
.30+=+7-50%2B45%281%2Bx%29%5E%28-0.25%29
Solving for x means that, at the end, we want an equation that looks like:
x = some-expression
or
some-expression = x
So we want to get x by itself. Note that as we go through the following steps expression on the same side of the equation as x get smaller and smaller. We'll start with simplifying 7-50:
.30+=+-43%2B45%281%2Bx%29%5E%28-0.25%29
Now we'll add 43 to both sides:
43.30+=+45%281%2Bx%29%5E%28-0.25%29
Divide both sides by 45:
43.30%2F45+=+%281%2Bx%29%5E%28-0.25%29
The next part of the right side we want to remove is the exponent. There's a couple of ways to proceed:
  • Clever foresight. If we can see that raising both sides to the -4 power helps:
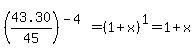
    %2843.30%2F45%29%5E%28-4%29+=+%28%281%2Bx%29%5E%28-0.25%29%29%5E%28-4%29
    With the rule for exponents %28a%5Ex%29%5Ey+=+a%5E%28x%2Ay%29 and since -0.25*(-4 = 1 we get:
    %2843.30%2F45%29%5E%28-4%29+=+%281%2Bx%29%5E1+=+1%2Bx
    And the exponent is "gone". (It's not really gone, it's a 1.) This is where the "clever foresight" comes in. We have to be able to see ahead of time how to make this happen. Now all we need to do is subtract 1 from each side:
    %2843.30%2F45%29%5E%28-4%29+-+1+=+x
    ... and use our calculator to simplify the left side:
    0.1665368696444109+=+x (approximately)
  • Or we can use logarithms. Since we will want our calculators to find a logarithm at some point we need to use a base for the logarithm that our calculators can find. Base 10 is commonly available and base e (aka ln, aka natural logarithms) is also on a lot of calculators. We'll use base 10.
    .30+=+-43%2B45%281%2Bx%29%5E%28-0.25%29
    Find the base 10 log of each side:
    log%28%2843.30%2F45%29%29+=+log%28%281%2Bx%29%5E%28-0.25%29%29%29
    Now we'll use a property of logarithms, log%28a%2C+%28p%5Eq%29%29+=+q%2Alog%28a%2C+%28p%29%29, to "move" the exponent in front:
    log%28%2843.30%2F45%29%29+=+%28-0.25%29log%28%281%2Bx%29%29
    Divide both sides by -0.25:
    %28log%28%2843.30%2F45%29%29%29%2F%28-0.25%29+=+log%28%281%2Bx%29%29
    Now, it is probably best to use our calculators on the left side so we can replace it with a single number:
    0.0668984696879129+=+log%28%281%2Bx%29%29
    Now we need to remove the "log" from the right side. To do this we rewrite the equation in exponential form:
    10%5E%280.0668984696879129%29+=+1%2Bx
    ... and subtract 1 from each side:
    10%5E%280.0668984696879129%29+-+1+=+x
    Using our calculators one last time we get:
    0.1665368696444109+=+x (approximately)

Answer by Alan3354(69443) About Me  (Show Source):
You can put this solution on YOUR website!
.30 = 7-50+45(1+x)^-.25
---------------
0.3 = -43 + 45/(1+x)^0.25
43.3 = 45/(1+x)^0.25
(1+x)^0.25 = 45/43.3
1+x = (45/43.3)^4
x = (45/43.3)^4 + 1
x = ~ 2.166537