SOLUTION: rewrite the following with out an exponent (2/7)-2

Algebra ->  Exponents-negative-and-fractional -> SOLUTION: rewrite the following with out an exponent (2/7)-2      Log On


   



Question 232498: rewrite the following with out an exponent
(2/7)-2

Found 2 solutions by rapaljer, jsmallt9:
Answer by rapaljer(4671) About Me  (Show Source):
You can put this solution on YOUR website!
%282%2F7%29%5E-2
Because of the negative exponent, it means to INVERT the fraction. Because of the 2 exponent, it means to SQUARE the result:

%287%2F2%29%5E2

+49%2F4

For additional help with the LAWS of EXPONENTS, please visit my own website. Do a "Bing" or "Google" search for my last name "Rapalje". Look for "Rapalje Homepage" near the top of the search list. From my Homepage, look for "Basic, Intermediate, and College Algebra: One Step at a Time." Select "Basic Algebra" and look in "Chapter 2" for "Section 2.12 (Positive Exponents)" and "Section 2.13 (Negative Exponents). These sections are supported by my "MATH IN LIVING COLOR" pages in which I solved problems IN COLOR!

Dr. Robert J. Rapalje, Retired
Seminole State College of Florida
Altamonte Springs Campus

Answer by jsmallt9(3758) About Me  (Show Source):
You can put this solution on YOUR website!
One of the rules for exponents, a%5E%28x%2Ay%29+=+%28a%5Ex%29%5Ey, allows us to rewrite a factored exponent.

Let's look at you exponent in a factored form. One way would be:
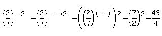
%282%2F7%29%5E%28-2%29+=+%282%2F7%29%5E%28-1%2A2%29
which, according to the property is:
%282%2F7%29%5E%28-2%29+=+%282%2F7%29%5E%28-1%2A2%29+=+%28%282%2F7%29%5E-1%29%5E2
Rewriting the exponent this way allows us to apply the factors of the exponent one by one. An exponent of -1 means "reciprocal of" so now we have:


We could also use the other order of factors: