SOLUTION: b^(8/3)*c^5 ----------- --- divided by a^2*b^(5/3)*d^(1/2) = I am stuck a^(1/2)

Algebra ->  Exponents-negative-and-fractional -> SOLUTION: b^(8/3)*c^5 ----------- --- divided by a^2*b^(5/3)*d^(1/2) = I am stuck a^(1/2)       Log On


   



Question 218990: b^(8/3)*c^5
--------------- divided by a^2*b^(5/3)*d^(1/2) = I am stuck
a^(1/2)

Answer by Theo(13342) About Me  (Show Source):
You can put this solution on YOUR website!
b^(8/3)*c^5
--------------- divided by a^2*b^(5/3)*d^(1/2) = I am stuck
a^(1/2)
If I understand this correctly, it is:

-----
first rule that you can use is that x%2Fy+=+x+%2A+%281%2Fy%29
you have something in the form of %28x%2Fy%29%2Fz which becomes %28x%2Fy%29%2A%281%2Fz%29 which becomes x%2F%28y%2Az%29
-----
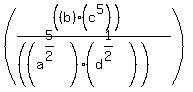
applying this rule, your equation becomes:

-----
In your denominator, you can take advantage of the fact that:
x*(y*z) = (a*y)*z
-----
You can use this to multiply the a factors first.
-----
The denominator of your equation becomes:

-----
Now you take advantage of the fact that a%5Ex+%2A+a%5Ey+=+a%5E%28x%2By%29
-----
The denominator of your equation becomes:
equals:

-----
You can separate out each factor to see them individually better.
Your equation becomes:

-----
Now you take advantage of the fact that b%5Ex+%2F+b%5Ey+=+b%28x-y%29
-----
your equation becomes:
equals:
equals:

-----
Since this equation can't be reduced any further, your final answer should be:

-----
To confirm you calculated this correctly, you substitute real values for your variables in the original equation and then you substitute those same real values in your final equation and you should get the same answer. If you do, you did it right. If you don't, then you go back and find out what you did wrong.
-----
let:
a = 2
b = 3
c = 4
d = 5
-----
your original equation of:
comes out to be:
which equals:
242.8629243
-----
your final equation of:
comes out to be:
which equals:
242.8629243
-----
Since the original equation and the final equation both come out the same then the transformation process was done correctly.
-----
Your answer is the final equation.
-----