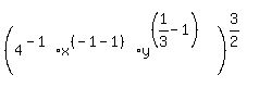
Question 214257This question is from textbook
: (4x to the negative one power, y to the 1/3 power) to the 3/2 power
___________________________________________________________________(over)
(xy) to the 3/2 power
I really need help with this one, I don't understand it at all...
This question is from textbook
Answer by jsmallt9(3758) (Show Source):
You can put this solution on YOUR website! 
When working with exponents there are several key things to understand:- The rules for exponents:
       (if a is not zero)
- The rules above apply regardless what the exponents are. They work on positive, negative, zero and fractional exponents.
- As with most things in Math, the rules work in both directions.
- Since exponents are, in essence, a form of multiplication and since multiplication is commutative, it rarely makes a difference the order you apply these rules (as long as you apply them correctly!).
So there are often many ways to simplify an expression with exponents. Here's a couple of possible solutions:
Solution #1:

1) Using rule #4 on the numerator and on the denominator:

2) Using rule #4 on the "4x":

3) Using rule #2 on the x's and y's"

which simplifies to

4) To simplify the , if you don't see it otherwise, factor the exponent:

5) Then we can use rule #3 (from right to left) twice:

6) Since 4^3 = 64:

7) Using rule #6 on "

8) Since :

9) Using rule #7 on :

At this point we could stop, unless you are not supposed to have negative exponents, In this case we use rule 9 on the x's and y's giving:

Solution #2:

1) Use Rule #5 (from right to left) on the entire fraction (since the exponents on the numerator and denominator are the same):

2) Using rule #4 on the "4x":

3) Using rule #2 on the x's and y's"

which simplifies to

4) Using rule #3:

And the rest is the same as the first solution....
|
|
|