SOLUTION: Could someone tell me if these are right Thank you Rewrite the following using only positive exponents. 3^-1 +1/3^1 = 1/3 (2.5)^-2 = 2^-2/5^-2 = 1/2 ^2 over 1/5^-2 = 1/2^2 . 5

Algebra ->  Exponents-negative-and-fractional -> SOLUTION: Could someone tell me if these are right Thank you Rewrite the following using only positive exponents. 3^-1 +1/3^1 = 1/3 (2.5)^-2 = 2^-2/5^-2 = 1/2 ^2 over 1/5^-2 = 1/2^2 . 5      Log On


   



Question 210965: Could someone tell me if these are right Thank you
Rewrite the following using only positive exponents.
3^-1 +1/3^1 = 1/3
(2.5)^-2 = 2^-2/5^-2 = 1/2 ^2 over 1/5^-2 = 1/2^2 . 5^2/1 = 5^2/2^ = 25/4
8 /8^-2 = 8^1/8^-2 = 8^1 + 8^3 = 512

Answer by Earlsdon(6294) About Me  (Show Source):
You can put this solution on YOUR website!
Rewrite using only positive exponents:
1). 3%5E%28-1%29%2B1%2F3%5E1+=1%2F3%2B1%2F3=2%2F3
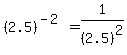
2). %282.5%29%5E%28-2%29+=+1%2F%282.5%29%5E2=0.16
3). 8%2F8%5E%28-2%29+=+8%2A8%5E2=8%2A64+=+512