SOLUTION: 16x^5y^-8/x^7y^4*(x^3y^2/8xy)^4 PLEASE HELP ME ASAP I HAVE A FINAL ON THIS TOMORROW AND IM SO CONFUSED AND MY TEACHER IS HELPLESS. PLEASE IM BEGGING!!

Algebra ->  Exponents-negative-and-fractional -> SOLUTION: 16x^5y^-8/x^7y^4*(x^3y^2/8xy)^4 PLEASE HELP ME ASAP I HAVE A FINAL ON THIS TOMORROW AND IM SO CONFUSED AND MY TEACHER IS HELPLESS. PLEASE IM BEGGING!!      Log On


   



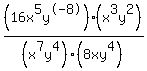
Question 198590: 16x^5y^-8/x^7y^4*(x^3y^2/8xy)^4
PLEASE HELP ME ASAP I HAVE A FINAL ON THIS TOMORROW AND IM SO CONFUSED AND MY TEACHER IS HELPLESS. PLEASE IM BEGGING!!

Answer by arallie(162) About Me  (Show Source):
You can put this solution on YOUR website!
Here we go. This is the problem as I understand it.
%28%2816x%5E5y%5E-8%29%2F%28x%5E7y%5E4%29%29%28%28x%5E3y%5E2%29%2F%288xy%5E4%29%29
First, make one big fraction.
%2816x%5E5y%5E-8%29%28x%5E3y%5E2%29%2F%28x%5E7y%5E4%29%288xy%5E4%29
Now we get ride of negative exponents. Move to the other side of the fraction and change the sign.
%2816x%5E5%29%28x%5E3y%5E2%29%2Fy%5E8%28x%5E7y%5E4%29%288xy%5E4%29
Get rid of all the parentheses we don't need, and move all variables into order.
16x%5E5x%5E3y%5E2%2F8x%5E7xy%5E7y%5E4y%5E4
Combined like terms, x's, y's by adding exponents together.
16x%5E8y%5E2%2F8x%5E8y%5E15
Simplify by subtracting exponents on either side of the fraction, smaller from bigger, and reducing the whole number.
2%2Fy%5E13
That's it.
Anymore questions feel free to ask me.
Anthony Allie
arallie@gmail.com
http://arallie.webs.com/tutoring.htm