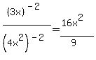
SOLUTION: i need to find out how to simplify the expression (3x)^-2/(4x^2)^-2

Algebra ->  Exponents-negative-and-fractional -> SOLUTION: i need to find out how to simplify the expression (3x)^-2/(4x^2)^-2      Log On


   



Question 187783: i need to find out how to simplify the expression (3x)^-2/(4x^2)^-2
Answer by jim_thompson5910(35256) About Me  (Show Source):
You can put this solution on YOUR website!
%283x%29%5E%28-2%29%2F%284x%5E2%29%5E%28-2%29 Start with the given expression.


%28%283x%29%2F%284x%5E2%29%29%5E%28-2%29 Since both the numerator and denominator have the same negative exponent, this means that we can write the entire expression with one negative exponent.


%28%284x%5E2%29%2F%283x%29%29%5E%282%29 Flip the fraction to make the exponent positive.


%28%284x%5Ecross%282%29%29%2F%283%2Across%28x%29%29%29%5E%282%29 Cancel out the common terms.


%28%284x%29%2F%283%29%29%5E%282%29 Simplify


%284x%29%5E2%2F%283%29%5E2 Apply the outer exponent to each term.


%2816x%5E2%29%2F%289%29 Square each term.


So %283x%29%5E%28-2%29%2F%284x%5E2%29%5E%28-2%29=%2816x%5E2%29%2F%289%29 as long as x%3C%3E0