SOLUTION: (2x^2)^-2
Algebra
->
Exponents-negative-and-fractional
-> SOLUTION: (2x^2)^-2
Log On
Algebra: Negative and Fractional exponents
Section
Solvers
Solvers
Lessons
Lessons
Answers archive
Answers
Click here to see ALL problems on Exponents-negative-and-fractional
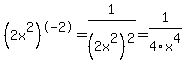
Question 180455
:
(2x^2)^-2
Answer by
Mathtut(3670)
(
Show Source
):
You can
put this solution on YOUR website!