SOLUTION: How do I solve this problem: (5/6)^-2
Algebra
->
Exponents-negative-and-fractional
-> SOLUTION: How do I solve this problem: (5/6)^-2
Log On
Algebra: Negative and Fractional exponents
Section
Solvers
Solvers
Lessons
Lessons
Answers archive
Answers
Click here to see ALL problems on Exponents-negative-and-fractional
Question 180036
:
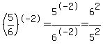
How do I solve this problem:
(5/6)^-2
Answer by
Mathtut(3670)
(
Show Source
):
You can
put this solution on YOUR website!
=36/25