SOLUTION: Please help me reduce the rational expression to lowest terms. 4 -x^2 over x^2 - 7x + 10
Algebra
->
Exponents-negative-and-fractional
-> SOLUTION: Please help me reduce the rational expression to lowest terms. 4 -x^2 over x^2 - 7x + 10
Log On
Algebra: Negative and Fractional exponents
Section
Solvers
Solvers
Lessons
Lessons
Answers archive
Answers
Click here to see ALL problems on Exponents-negative-and-fractional
Question 179750
:
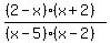
Please help me reduce the rational expression to lowest terms.
4 -x^2 over x^2 - 7x + 10
Answer by
Mathtut(3670)
(
Show Source
):
You can
put this solution on YOUR website!
:
:
:
or