SOLUTION: 13) Simplify SR(45x^23) 14) Simplify 4th root of (x^5 divided by 16y^15) 15) Simplify (x1/4 y1/2)2(x2y3)1/2 thanks so much.....so confu

Algebra ->  Exponents-negative-and-fractional -> SOLUTION: 13) Simplify SR(45x^23) 14) Simplify 4th root of (x^5 divided by 16y^15) 15) Simplify (x1/4 y1/2)2(x2y3)1/2 thanks so much.....so confu      Log On


   



Question 175802: 13) Simplify SR(45x^23)

14) Simplify 4th root of (x^5 divided by 16y^15)

15) Simplify (x1/4 y1/2)2(x2y3)1/2
thanks so much.....so confused....can you show the steps please??? math is my weakest subject!!

Found 2 solutions by josmiceli, gonzo:
Answer by josmiceli(19441) About Me  (Show Source):
You can put this solution on YOUR website!
I have time to do one
14)
%28%28x%5E5%29+%2F+%2816y%5E15%29%29%5E%281%2F4%29
and
I know 16+=+2%5E4
I also know I can do this:

and

and

and

Don't lose heart- this problem is loaded
with tricky concepts, and I'm not even
sure I got it right- I've done these for years, too

Answer by gonzo(654) About Me  (Show Source):
You can put this solution on YOUR website!
number 13:
sqrt%2845%2Ax%5E23%29
to simplify you need to remove everything from under the radical as much as possible.
let's see how that would work in this case.
.
how do i know i got the right answer?
i cheated by using the calculator.
i took a random value of x and solved for it in the original equation and in the simplified equation and got the same answer.
---
how did i know to do what i did?
couple of concepts that helped:
sqrt%28x%5E2%29+=+x
x%5Ea%2Ax%5Ea+=+x%5E%282a%29
x%5Ea%2Ax%5Eb+=+x%5E%28a%2Bb%29
---
these are all basic concepts that you should review if you're still confused by them.
---
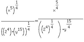
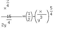
number 14:
root%284%2C%28x%5E5%29%2F%2816y%5E15%29%29
again, you need to simplify by removing everything from under the radical that can be removed.
after looking at this i came up on the following:
.
---
again i cheated to prove the answer was correct by solving the original equation and the simplified equation for random values of x and y.
---
i used the same concepts, except in this case i used:
root%284%2Cx%5E4%29+=+x
i also looked at y%5E15 to see how i could get something to the 4th power out of it so that i could exctract that as well.
since y%5E12+=+%28y%5E3%29%5E4 i figured that if i could extract y%5E12 from y%5E15, then i could also take that from under the radical.
since y%5E15+=+y%5E12%2Ay%5E3 i was able to do that.
in order to do that, the concept used was:
x%5Ea%2Ax%5Eb+=+x%5E%28a%2Bb%29
in this case:
y%5E12%2Ay%5E3+=+y%5E%2812%2B3%29+=+y%5E15 so i was good to go.
---
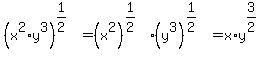
number 15:
5) Simplify (x1/4 y1/2)2(x2y3)1/2
---
i'm not quite sure what you mean by this but i'll take a stab at it.
i assume you mean:
%28x%5E%281%2F4%29%2Ay%5E%281%2F2%29%29%5E2%2A%28x%5E2%2Ay%5E3%29%5E%281%2F2%29
---
if i'm correct in my assumption then this is how you would solve this problem.
---
one of the concepts used is %28x%5Ea%29%5Eb+=+x%5E%28a%2Ab%29
another concept used is %28x%5Ea%2Ay%5Eb%29%5Ec+=+x%5E%28ac%29%2Ay%5E%28bc%29
we'll start with these and see what else we need.

that's the left hand part of this equation.
---

that's the right hand part of this equation.
---
putting these together, you get:
x%5E%281%2F2%29%2Ay%2Ax%2Ay%5E%283%2F2%29%29
combining like terms using the concept x%5Ea%2Ax%5Eb+=+x%5E%28a%2Bb%29, we get:
---
.
---
i cheated again to prove the answer is correct.
looks like all 3 answers are good.
these are not simple problems and you have to keep track of everything as you work through them.
they all require the use of basic concepts to get the answers.
i would recommend you review the basic concepts again now that you have some idea of how they can be used.
---
if you would like to do a review of the basic concepts, then i would recommend this website:
---
http://www.wtamu.edu/academic/anns/mps/math/mathlab/beg_algebra/index.htm
---
click on tutorial 26 (exponents).
they give a pretty decent review that is fairly easy to understand.
---
try also this website:
http://www.wtamu.edu/academic/anns/mps/math/mathlab/int_algebra/index.htm
---
click on tutorials 23 and 24.
---
both these websites are the same place.
they give reviews on elementary algebra, intermediate algebra, college algebra.
start with the elementary and work up.
there's lots of good stuff in there that can help you if you're confused.
---