SOLUTION: Divide by factoring numerators and then dividing out common factors. (x^2-4x-25)/(x+4)

Algebra ->  Exponents-negative-and-fractional -> SOLUTION: Divide by factoring numerators and then dividing out common factors. (x^2-4x-25)/(x+4)      Log On


   



Question 164149: Divide by factoring numerators and then dividing out common factors.
(x^2-4x-25)/(x+4)

Answer by Edwin McCravy(20060) About Me  (Show Source):
You can put this solution on YOUR website!
Divide by factoring numerators and then dividing out common factors.

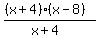
%28x%5E2-4x-32%29%2F%28x%2B4%29

Factor the numerator:

%28%28x%2B4%29%28x-8%29%29%2F%28x%2B4%29

Divide out the common factor %28x%2B4%29

%28%28cross%28x%2B4%29%29%28x-8%29%29%2F%28cross%28x%2B4%29%29

x-8

Edwin