SOLUTION: can you please help me answer: (((2x(2)+x-6 over 2x+4)))
Algebra
->
Exponents-negative-and-fractional
-> SOLUTION: can you please help me answer: (((2x(2)+x-6 over 2x+4)))
Log On
Algebra: Negative and Fractional exponents
Section
Solvers
Solvers
Lessons
Lessons
Answers archive
Answers
Click here to see ALL problems on Exponents-negative-and-fractional
Question 152477
This question is from textbook
Algebra structure and method book 1
:
can you please help me answer: (((2x(2)+x-6 over 2x+4)))
This question is from textbook
Algebra structure and method book 1
Answer by
jim_thompson5910(35256)
(
Show Source
):
You can
put this solution on YOUR website!
Note: I'm assuming that 2x(2) means
. If you want to represent exponents, type 2x^2 to get
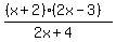
Start with the given expression.
Factor
to get
.
Factor
to get
.
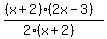
Highlight the common terms.
Cancel out the common terms.
Simplify.
So
simplifies to
.
In other words,
where