SOLUTION: 1-(1+xy^-2)^-2 divided by 1+(1+xy^-2)^-2 Directions are to simplify. Thanks

Algebra ->  Exponents-negative-and-fractional -> SOLUTION: 1-(1+xy^-2)^-2 divided by 1+(1+xy^-2)^-2 Directions are to simplify. Thanks      Log On


   



Question 144240: 1-(1+xy^-2)^-2 divided by 1+(1+xy^-2)^-2
Directions are to simplify. Thanks

Answer by Edwin McCravy(20060) About Me  (Show Source):
You can put this solution on YOUR website!


1-%281%2Bxy%5E%28-2%29%29%5E%28-2%29÷1%2B%281%2Bxy%5E%28-2%29%29%5E%28-2%29
Write both terms xy%5E%28-2%29 as x%2Fy%5E2
1-%281%2Bx%2Fy%5E2%29%5E%28-2%29÷1%2B%281%2Bx%2Fy%5E2%29%5E%28-2%29
Write the 1's inside the parentheses as 1%2F1
1-%281%2F1%2Bx%2Fy%5E2%29%5E%28-2%29÷+1%2B%281%2F1%2Bx%2Fy%5E2%29%5E%28-2%29
Get an LCD of y%5E2 inside the parentheses and
multiply top and bottom of both 1%2F1's by y%5E2
+1-%28%281%2Ay%5E2%29%2F%281%2Ay%5E2%29%2Bx%2Fy%5E2%29%5E%28-2%29÷+1%2B%28%281%2Ay%5E2%29%2F%281%2Ay%5E2%29%2Bx%2Fy%5E2%29%5E%28-2%29
1-%28y%5E2%2Fy%5E2%2Bx%2Fy%5E2%29%5E%28-2%29÷+1%2B%28%28y%5E2%29%2F%28y%5E2%29%2Bx%2Fy%5E2%29%5E%28-2%29
Combine the numerators over the LCD in the parentheses:
+1-%28%28y%5E2%2Bx%29%2Fy%5E2+%29%5E%28-2%29÷+1%2B%28%28y%5E2%2Bx%29%2Fy%5E2%29%5E%28-2%29
Now use this principle on those fractions to negative powers:
%28A%2FB%29%5E%28-N%29+=+%28B%2FA%29%5EN
+1-%28y%5E2%2F%28y%5E2%2Bx%29+%29%5E2÷+1%2B%28y%5E2%2F%28y%5E2%2Bx%29%29%5E2
Square tops and bottoms:
+1-y%5E4%2F%28y%5E2%2Bx%29%5E2÷+1%2By%5E4%2F%28y%5E2%2Bx%29%5E2
Write the 1's as 1%2F1
+1%2F1-y%5E4%2F%28y%5E2%2Bx%29%5E2÷+1%2F1%2By%5E4%2F%28y%5E2%2Bx%29%5E2
Get an LCD of %28y%5E2%2Bx%29%5E2 and multiply the 1%2F1's
top and bottom by it:
+%281%2A%28y%5E2%2Bx%29%5E2%29%2F%281%2A%28y%5E2%2Bx%29%5E2%29-y%5E4%2F%28y%5E2%2Bx%29%5E2÷%281%2A%28y%5E2%2Bx%29%5E2%29%2F%281%2A%28y%5E2%2Bx%29%5E2%29%2By%5E4%2F%28y%5E2%2Bx%29%5E2
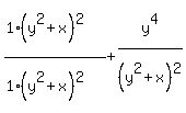
+%28y%5E2%2Bx%29%5E2%2F%28y%5E2%2Bx%29%5E2-y%5E4%2F%28y%5E2%2Bx%29%5E2÷%28y%5E2%2Bx%29%5E2%2F%28y%5E2%2Bx%29%5E2%2By%5E4%2F%28y%5E2%2Bx%29%5E2
Combine the numerators over the LCD
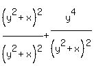
+%28%28y%5E2%2Bx%29%5E2-y%5E4%29%2F%28y%5E2%2Bx%29%5E2÷%28%28y%5E2%2Bx%29%5E2%2By%5E4%29%2F%28y%5E2%2Bx%29%5E2
Invert the second fraction and change division to multiplication:
+%28%28y%5E2%2Bx%29%5E2-y%5E4%29%2F%28y%5E2%2Bx%29%5E2×%28y%5E2%2Bx%29%5E2%2F%28%28y%5E2%2Bx%29%5E2%2By%5E4%29
Now the %28y%5E2%2Bx%29%5E2's cancel
+%28%28y%5E2%2Bx%29%5E2-y%5E4%29%2Fcross%28%28y%5E2%2Bx%29%5E2%29×cross%28%28y%5E2%2Bx%29%5E2%29%2F%28%28y%5E2%2Bx%29%5E2%2By%5E4%29
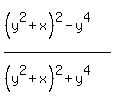
+%28%28y%5E2%2Bx%29%5E2-y%5E4%29%2F%28%28y%5E2%2Bx%29%5E2%2By%5E4%29
Now we square +%28y%5E2%2Bx%29%5E2+ = +%28y%5E2%2Bx%29%28y%5E2%2Bx%29+ = +y%5E4%2B2xy%5E2%2Bx%5E2+
And replace in the numerator and denominator
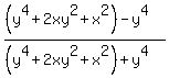
+%28%28y%5E4%2B2xy%5E2%2Bx%5E2%29-y%5E4%29%2F%28%28y%5E4%2B2xy%5E2%2Bx%5E2%29%2By%5E4%29
+%28y%5E4%2B2xy%5E2%2Bx%5E2-y%5E4%29%2F%28y%5E4%2B2xy%5E2%2Bx%5E2%2By%5E4%29
Combine terms in numerator and denominator
+%282xy%5E2%2Bx%5E2%29%2F%282y%5E4%2B2xy%5E2%2Bx%5E2%29
Edwin