SOLUTION: how do I solve 7 to the -4 exponent. what is the answer?

Algebra ->  Exponents-negative-and-fractional -> SOLUTION: how do I solve 7 to the -4 exponent. what is the answer?      Log On


   



Question 12977: how do I solve 7 to the -4 exponent. what is the answer?
Answer by Earlsdon(6294) About Me  (Show Source):
You can put this solution on YOUR website!
Remember, you change a negative exponent into a positive exponent by moving the term with the exponent down into the denominator (if it was in the numerator) or up to the numerator (if it was in the denominator).
Examples:
a%5E%28-2%29+=+1%2Fa%5E2
n%5E3+=+1%2Fn%5E%28-3%29
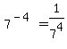
For your problem then:
7%5E%28-4%29+=+1%2F7%5E4 and 7%5E4+=+7%2A7%2A7%2A7 = 2401
1%2F7%5E4+=+1%2F2401