SOLUTION: Factor if possible 3(x-2y)^2 + 6(x-2y) - 45 **The answer has to be one of these choices 3(x+2y+5)(x-2y-3) , 3(x-2y-5)(x-2y+3), 3(x+2y-5)(x-2y+3) , 3(x-2y+5)(x-2y-3)

Algebra ->  Exponents-negative-and-fractional -> SOLUTION: Factor if possible 3(x-2y)^2 + 6(x-2y) - 45 **The answer has to be one of these choices 3(x+2y+5)(x-2y-3) , 3(x-2y-5)(x-2y+3), 3(x+2y-5)(x-2y+3) , 3(x-2y+5)(x-2y-3)      Log On


   



Question 125429: Factor if possible
3(x-2y)^2 + 6(x-2y) - 45
**The answer has to be one of these choices
3(x+2y+5)(x-2y-3) , 3(x-2y-5)(x-2y+3), 3(x+2y-5)(x-2y+3) , 3(x-2y+5)(x-2y-3)

Answer by jim_thompson5910(35256) About Me  (Show Source):
You can put this solution on YOUR website!
Let z=x-2y


So the expression 3%28x-2y%29%5E2+%2B+6%28x-2y%29+-+45+ becomes 3z%5E2+%2B+6z+-+45




3z%5E2%2B6z-45 Start with the given expression


3%28z%5E2%2B2z-15%29 Factor out the GCF 3


Now let's focus on the inner expression z%5E2%2B2z-15




------------------------------------------------------------



Looking at 1z%5E2%2B2z-15 we can see that the first term is 1z%5E2 and the last term is -15 where the coefficients are 1 and -15 respectively.

Now multiply the first coefficient 1 and the last coefficient -15 to get -15. Now what two numbers multiply to -15 and add to the middle coefficient 2? Let's list all of the factors of -15:



Factors of -15:
1,3,5,15

-1,-3,-5,-15 ...List the negative factors as well. This will allow us to find all possible combinations

These factors pair up and multiply to -15
(1)*(-15)
(3)*(-5)
(-1)*(15)
(-3)*(5)

note: remember, the product of a negative and a positive number is a negative number


Now which of these pairs add to 2? Lets make a table of all of the pairs of factors we multiplied and see which two numbers add to 2

First NumberSecond NumberSum
1-151+(-15)=-14
3-53+(-5)=-2
-115-1+15=14
-35-3+5=2



From this list we can see that -3 and 5 add up to 2 and multiply to -15


Now looking at the expression 1z%5E2%2B2z-15, replace 2z with -3z%2B5z (notice -3z%2B5z adds up to 2z. So it is equivalent to 2z)

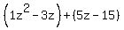
1z%5E2%2Bhighlight%28-3z%2B5z%29%2B-15


Now let's factor 1z%5E2-3z%2B5z-15 by grouping:


%281z%5E2-3z%29%2B%285z-15%29 Group like terms


z%28z-3%29%2B5%28z-3%29 Factor out the GCF of z out of the first group. Factor out the GCF of 5 out of the second group


%28z%2B5%29%28z-3%29 Since we have a common term of z-3, we can combine like terms

So 1z%5E2-3z%2B5z-15 factors to %28z%2B5%29%28z-3%29


So this also means that 1z%5E2%2B2z-15 factors to %28z%2B5%29%28z-3%29 (since 1z%5E2%2B2z-15 is equivalent to 1z%5E2-3z%2B5z-15)



------------------------------------------------------------




So our expression goes from 3%28z%5E2%2B2z-15%29 and factors further to 3%28z%2B5%29%28z-3%29




Remember we let z=x-2y, so let's replace z with x-2y

3%28x-2y%2B5%29%28x-2y-3%29 Plug in z=x-2y




------------------------------------
Answer:

So 3%28x-2y%29%5E2+%2B+6%28x-2y%29+-+45+ factors to 3%28x-2y%2B5%29%28x-2y-3%29


So the answer is D)