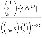
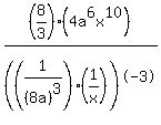
SOLUTION: (3/8)^-1 * (2a^3x^5)^2/(8a^-3x^-1)^-3

Algebra ->  Exponents-negative-and-fractional -> SOLUTION: (3/8)^-1 * (2a^3x^5)^2/(8a^-3x^-1)^-3      Log On