SOLUTION: Solve the following equation: −4/5(7𝑦+5)−6/10(−6𝑦−7)=2𝑦−(148/25) Simplify: [(𝑥^3𝑚)^−2𝑛^2/𝑛^-1𝑥^-4]^-2

Algebra ->  Exponents-negative-and-fractional -> SOLUTION: Solve the following equation: −4/5(7𝑦+5)−6/10(−6𝑦−7)=2𝑦−(148/25) Simplify: [(𝑥^3𝑚)^−2𝑛^2/𝑛^-1𝑥^-4]^-2      Log On


   



Question 1133510: Solve the following equation: −4/5(7𝑦+5)−6/10(−6𝑦−7)=2𝑦−(148/25)
Simplify:
[(𝑥^3𝑚)^−2𝑛^2/𝑛^-1𝑥^-4]^-2

Answer by MathLover1(20850) About Me  (Show Source):
You can put this solution on YOUR website!
Solve the following equation:
-%284%2F5%29%287y%2B5%29-%286%2F10%29%28-6y-7%29=2y-148%2F25..........both side multiply by common denominator 50
-50%284%2F5%29%287y%2B5%29-50%286%2F10%29%28-6y-7%29=50%2A2y-50%2A148%2F25
-10%2A4%287y%2B5%29-5%2A6%28-6y-7%29=100y-2%2A148
-40%287y%2B5%29-30%28-6y-7%29=100y-296
-280y-200%2B180y%2B210=100y-296
-100y%2B10=100y-296
296%2B10=100y%2B100y
306=200y
153=100y
y=153%2F100->exact solution
y=1.53->decimal solution

Simplify: [(𝑥^3𝑚)^−2𝑛^2/𝑛^-1𝑥^-4]^-2
it's not quite clear what do you have here
my guess is:

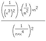
%28%28x%5E3+%2A+m%29%5E%28-2+%29%2An%5E2%29%2F%28n%5E-1+%2A+x%5E-4%29%29%5E2





%28%281%2Fx%5E6%29+%2A%281%2Fm%5E2%29%2An%5E2%29%2F%281%5E2%2F%28n%5E2%2A+x%5E8%29%29

%28+n%5E2%2F%28x%5E6+%2Am%5E2+%29%29%2F%281%2F%28n%5E2%2A+x%5E8%29%29

+n%5E2%28n%5E2%2A+x%5E8%29%2F%28x%5E6+%2Am%5E2+%29............since x%5E8%2Fx%5E6=x%5E2%2F1

%28n%5E4%2A+x%5E2%29%2Fm%5E2+