SOLUTION: If {{{k^2=k+5}}} express the following in terms of k and a constant. i) {{{k^3}}} ii) {{{k^4}}} Please explain, I don't really understand.

Algebra ->  Exponents-negative-and-fractional -> SOLUTION: If {{{k^2=k+5}}} express the following in terms of k and a constant. i) {{{k^3}}} ii) {{{k^4}}} Please explain, I don't really understand.       Log On


   



Question 1112559: If k%5E2=k%2B5 express the following in terms of k and a constant.
i) k%5E3
ii) k%5E4


Please explain, I don't really understand.

Answer by josgarithmetic(39618) About Me  (Show Source):
You can put this solution on YOUR website!
k%5E4
-
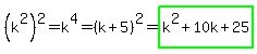
If k%5E2=k%2B5, then %28k%5E2%29%5E2=k%5E4=%28k%2B5%29%5E2=highlight_green%28k%5E2%2B10k%2B25%29.


k%5E3?
If k%5E2=k%2B5, then k=k%5E2-5.
-
k%5E3=%28k%5E2-5%29%5E3
.
.
.