SOLUTION: (-64x^3/y^-6)^2/3

Algebra ->  Exponents-negative-and-fractional -> SOLUTION: (-64x^3/y^-6)^2/3      Log On


   



Question 1091537: (-64x^3/y^-6)^2/3
Found 2 solutions by Boreal, MathLover1:
Answer by Boreal(15235) About Me  (Show Source):
You can put this solution on YOUR website!
Take everything separately and raise it to the 2/3 power
the -64 is the cube root of -64 (-4) squared (16)
x^3 raised to the 2/3 is the product of the exponents or 2, x^2.
y^-6 raised to the 2/3 power will be y^-4
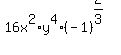
The answer is 16x^2/y^-4
or 16x^2*y^4.

Answer by MathLover1(20850) About Me  (Show Source):