SOLUTION: (-27x^18/y^-36)^2/3

Algebra ->  Exponents-negative-and-fractional -> SOLUTION: (-27x^18/y^-36)^2/3      Log On


   



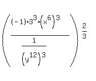
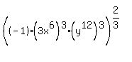
Question 1091536: (-27x^18/y^-36)^2/3
Found 2 solutions by MathLover1, MathTherapy:
Answer by MathLover1(20850) About Me  (Show Source):
Answer by MathTherapy(10555) About Me  (Show Source):
You can put this solution on YOUR website!
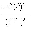
(-27x^18/y^-36)^2/3
%28%28-+27x%5E18%29%2Fy%5E%28-+36%29%29%5E%282%2F3%29
%28root+%283%2C+%28-+27x%5E18%29%2Fy%5E%28-+36%29%29%29%5E2
%28root+%283%2C+%28-+27x%5E18%29%29%2Froot+%283%2C+%28y%5E%28-+36%29%29%29%29%5E2
=====> %28%28-+3+%2A+x%5E6%29%2Fy%5E%28-+12%29%29%5E2 =====> %28%28-+3%29%5E2+%2A+%28x%5E6%29%5E2%29%2F%28y%5E%28-+12%29%29%5E2 ======> %289+%2A+x%5E12%29%2Fy%5E%28-+24%29 =======> matrix%281%2C3%2C+9x%5E12%2C+%22%F7%22%2C+1%2Fy%5E24%29 ======> highlight_green%289x%5E12y%5E24%29