SOLUTION: {{{(3x^3)/(x^3+27) - x/(x+3) + (2x^2)/(x^2-3x+9)}}}

Algebra ->  Exponents-negative-and-fractional -> SOLUTION: {{{(3x^3)/(x^3+27) - x/(x+3) + (2x^2)/(x^2-3x+9)}}}      Log On


   



Question 103968: %283x%5E3%29%2F%28x%5E3%2B27%29+-+x%2F%28x%2B3%29+%2B+%282x%5E2%29%2F%28x%5E2-3x%2B9%29
Answer by jim_thompson5910(35256) About Me  (Show Source):
You can put this solution on YOUR website!
%283x%5E3%29%2F%28x%5E3%2B27%29+-+x%2F%28x%2B3%29+%2B+%282x%5E2%29%2F%28x%5E2-3x%2B9%29 Start with the given expression



Factor x%5E3%2B27 into %28x%2B3%29%28x%5E2-3x%2B9%29



So this means the LCM is %28x%2B3%29%28x%5E2-3x%2B9%29 (since every denominator has either x%2B3, x%5E2-3x%2B9, or both). So we want every fraction to have a denominator of %28x%2B3%29%28x%5E2-3x%2B9%29



Multiply the second fraction by %28x%5E2-3x%2B9%29%2F%28x%5E2-3x%2B9%29


Multiply


Distribute



Multiply the third fraction by %28x%2B3%29%2F%28x%2B3%29


Multiply



Distribute

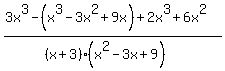
Since we have a common denominator, we can combine the fractions

Combine the fractions


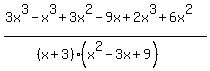
%283x%5E3-x%5E3%2B3x%5E2-9x%2B2x%5E3%2B6x%5E2%29%2F%28%28x%2B3%29%28x%5E2-3x%2B9%29%29+ Distribute the negative


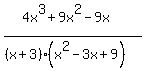
%284x%5E3%2B9x%5E2-9x%29%2F%28%28x%2B3%29%28x%5E2-3x%2B9%29%29+ Combine like terms



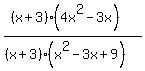
%28%28x%2B3%29%284x%5E2-3x%29%29%2F%28%28x%2B3%29%28x%5E2-3x%2B9%29%29+ Factor the numerator


Cancel like terms



%284x%5E2-3x%29%2F%28x%5E2-3x%2B9%29+ Simplify


%28x%284x-3%29%29%2F%28x%5E2-3x%2B9%29+ Factor out an x



So %283x%5E3%29%2F%28x%5E3%2B27%29+-+x%2F%28x%2B3%29+%2B+%282x%5E2%29%2F%28x%5E2-3x%2B9%29 simplifies to %28x%284x-3%29%29%2F%28x%5E2-3x%2B9%29+