SOLUTION: (a^6b^-2)^4/(4a^-3b^-3)^3 Can you also please tell me or explain to me how to solve this? I can't seem to get the correct answer.

Algebra ->  Exponents-negative-and-fractional -> SOLUTION: (a^6b^-2)^4/(4a^-3b^-3)^3 Can you also please tell me or explain to me how to solve this? I can't seem to get the correct answer.       Log On


   



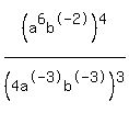
Question 1001853: (a^6b^-2)^4/(4a^-3b^-3)^3
Can you also please tell me or explain to me how to solve this? I can't seem to get the correct answer.

Answer by Alan3354(69443) About Me  (Show Source):
You can put this solution on YOUR website!
(a^6b^-2)^4/(4a^-3b^-3)^3
-----------
Nothing to solve, it's not an equation.
It can be simplified.
%28a%5E6b%5E-2%29%5E4%2F%284a%5E-3b%5E-3%29%5E3
= %28a%5E24b%5E-8%29%2F%2864a%5E-9b%5E-9%29
Multiply NUM and DEN by a^9
= %28a%5E33b%5E-8%29%2F%2864b%5E-9%29
Multiply NUM and DEN by b^9
= a%5E33b%2F64