SOLUTION: how do I factor an simplify (4x-1)^(1/2)-(1/3)(4x-1)^3/2) thank you for your help.

Algebra ->  Exponential-and-logarithmic-functions -> SOLUTION: how do I factor an simplify (4x-1)^(1/2)-(1/3)(4x-1)^3/2) thank you for your help.      Log On


   



Question 986931: how do I factor an simplify (4x-1)^(1/2)-(1/3)(4x-1)^3/2)
thank you for your help.

Answer by macston(5194) About Me  (Show Source):
You can put this solution on YOUR website!
.
(4x-1)^(1/2)-(1/3)(4x-1)^3/2)
.
%284x-1%29%5E%281%2F2%29-%281%2F3%29%284x-1%29%5E%283%2F2%29
.
sqrt%284x-1%29-%281%2F3%29%28sqrt%28%284x-1%29%5E3%29%29
.
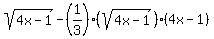
sqrt%284x-1%29-%281%2F3%29%28sqrt%284x-1%29%29%284x-1%29
.
%28sqrt%284x-1%29%29%281-%281%2F3%29%284x-1%29%29
.
%28sqrt%284x-1%29%29%281-%284%2F3%29x%2B%281%2F3%29%29
.
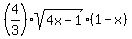
sqrt%284x-1%29%28%284%2F3%29-%284%2F3%29x%29
.
%284%2F3%29sqrt%284x-1%29%281-x%29