SOLUTION: I am trying to solve (1/8)^(2x-3) = 16^(x+1)

Algebra ->  Exponential-and-logarithmic-functions -> SOLUTION: I am trying to solve (1/8)^(2x-3) = 16^(x+1)      Log On


   



Question 983070: I am trying to solve (1/8)^(2x-3) = 16^(x+1)
Found 2 solutions by Edwin McCravy, ikleyn:
Answer by Edwin McCravy(20060) About Me  (Show Source):
You can put this solution on YOUR website!
I won't do your problem for you.  Instead here is one EXACTLY like yours.
Use it as a model to solve yours:

%281%2F27%29%5E%283x-4%29=9%5E%28x-5%29

Write 27 as 3³ and 9 as (3²)

%281%2F3%5E3%29%5E%283x-4%29=%283%5E2%29%5E%28x-5%29

Write 1%2F3%5E3 as 3%5E%28-3%29

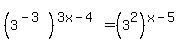
%283%5E%28-3%29%29%5E%283x-4%29=%283%5E2%29%5E%28x-5%29

remove the parentheses by multiplying the exponents:

3%5E%28-9x%2B12%29=3%5E%282x-10%29

Since the bases are the same, and they are positive
and not equal to 1, we may equate the exponents only

-9x%2B12=2x-10

-9x%2B12=2x-10

-11x=-22

x=2

Edwin


Answer by ikleyn(52803) About Me  (Show Source):
You can put this solution on YOUR website!

Is this the equation you need to solve?

%281%2F8%29%5E%282x-3%29 = 16%5E%28x%2B1%29.

If so,  then let us write it in terms of degrees of  2:

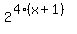
2%5E%28-3%2A%282x-3%29%29 = 2%5E%284%2A%28x%2B1%29%29.

It gives

-3*(2x-3) = 4*(x+1).

To solve the last equation,  simplify it step by step:

-6x + 9 = 4x + 4,

-6x - 4x = 4 - 9,

-10x = -5,

x = %28-5%29%2F%28-10%29 = 1%2F2.

Check.  The left side of the original equation at  x = 1%2F2  is  %281%2F8%29%5E%281-3%29 = %281%2F8%29%5E%28-2%29 = 8%5E2 = 64.

            The right side of the original equation at  x = 1%2F2  is  16%5E%283%2F2%29 = 4%5E3 = 64.

Answer.  x = 1%2F2.