SOLUTION: Rewrite the following logarithmic expressions as a single logarithmic term with a base of 4. List any restrictions that apply to your simplification. {{{ log( 4, x^2 - 4 ) }}} -

Algebra ->  Exponential-and-logarithmic-functions -> SOLUTION: Rewrite the following logarithmic expressions as a single logarithmic term with a base of 4. List any restrictions that apply to your simplification. {{{ log( 4, x^2 - 4 ) }}} -      Log On


   



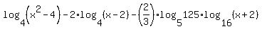
Question 944483: Rewrite the following logarithmic expressions as a single logarithmic term with a base of 4. List any restrictions that apply to your simplification.
+log%28+4%2C+x%5E2+-+4+%29+ - 2+log%28+4%2C+x+-+2+%29+ - +%282%2F3%29+log%28+5%2C+125+%29+ +log%28+16%2C+x+%2B+2+%29+

Answer by Alan3354(69443) About Me  (Show Source):
You can put this solution on YOUR website!

---
125 = 5^3 --> log%285%2C125%29 = 3
=
log%2816%2C%28x+%2B+2%29%29+=+log%284%2C%28x%2B2%29%5E2%29
----------
= log%284%2C%28x%5E2+-+4%29%29+-+2%2Alog%284%2C%28x+-+2%29%29+-+4%2Alog%284%2C%28x+%2B+2%29%29
= log%284%2C%28x%5E2+-+4%29%29+-+log%284%2C%28x+-+2%29%5E2%29+-+log%284%2C%28x+%2B+2%29%5E4%29
= log%284%2C%28%28x-2%29%2A%28x%2B2%29%29%2F%28%28x-2%29%5E2%2A%28x%2B2%29%5E4%29%29
= log%284%2C%281%2F%28%28x-2%29%2A%28x%2B2%29%5E3%29%29%29
x > 2