SOLUTION: How long will it take a sum of money to treble if it is invested at 15% interest compounded semi-annually?
Algebra
->
Exponential-and-logarithmic-functions
-> SOLUTION: How long will it take a sum of money to treble if it is invested at 15% interest compounded semi-annually?
Log On
Algebra: Exponent and logarithm as functions of power
Section
Solvers
Solvers
Lessons
Lessons
Answers archive
Answers
Click here to see ALL problems on Exponential-and-logarithmic-functions
Question 944469
:
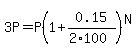
How long will it take a sum of money to treble if it is invested at 15% interest compounded semi-annually?
Answer by
Fombitz(32388)
(
Show Source
):
You can
put this solution on YOUR website!
6 month-periods