SOLUTION: Help with exponents. What is the answer here? (2x10^-5 (x10^3)) / (2x10^4) Thanks for any help!

Algebra ->  Exponential-and-logarithmic-functions -> SOLUTION: Help with exponents. What is the answer here? (2x10^-5 (x10^3)) / (2x10^4) Thanks for any help!      Log On


   



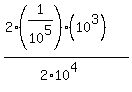
Question 941493: Help with exponents. What is the answer here?
(2x10^-5 (x10^3)) / (2x10^4)
Thanks for any help!

Found 2 solutions by MathLover1, MathTherapy:
Answer by MathLover1(20850) About Me  (Show Source):
Answer by MathTherapy(10552) About Me  (Show Source):
You can put this solution on YOUR website!

Help with exponents. What is the answer here?
(2x10^-5 (x10^3)) / (2x10^4)
Thanks for any help!

%282+%2A+10%5E-5+%2A+10%5E3%29%2F%282+%2A+10%5E4%29
%282+%2A+10%5E%28%28-+5+%2B+3%29%29%29%2F%282+%2A+10%5E4%29
%282+%2A+10%5E-+2%29%2F%282+%2A+10%5E4%29
%28cross%282%29+%2A+10%5E-+2%29%2F%28cross%282%29+%2A+10%5E4%29________10%5E-+2%2F10%5E4______10%5E%28-+2+-+4%29______highlight_green%2810%5E-+6%29