SOLUTION: I need help with this question. 1. Write the inverse equation of y=2^x+1 ( The x+1 is the exponent. I tried solving it and my answer was y^-1= lnx-ln2/ln2 b. Provide a table

Algebra ->  Exponential-and-logarithmic-functions -> SOLUTION: I need help with this question. 1. Write the inverse equation of y=2^x+1 ( The x+1 is the exponent. I tried solving it and my answer was y^-1= lnx-ln2/ln2 b. Provide a table      Log On


   



Question 936359: I need help with this question.
1. Write the inverse equation of y=2^x+1 ( The x+1 is the exponent. I tried solving it and my answer was y^-1= lnx-ln2/ln2
b. Provide a table of values of y=2^x+1 and its inverse. (I will know how to do this if you can help me with the first part)
c. What are the asymptotes for each graph? Be sure to identify if it is horizontal or vertical. (The question wants the asymptote for y=2^x+1 and the asymptote for the inverse of y=2^x+1

Answer by josgarithmetic(39617) About Me  (Show Source):
You can put this solution on YOUR website!
y=2^(x+1) is very different from y=2^x+1.

You want this equation: y=2^(x+1). Rendering makes it appear, y=2%5E%28x%2B1%29.

The quick way to get inverse,
Switch x and y roles.
Keeping in base 2...
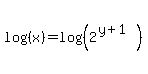
x=2%5E%28y%2B1%29
log%28%28x%29%29=log%28%282%5E%28y%2B1%29%29%29
log%28%28x%29%29=%28y%2B1%29%2Alog%28%282%29%29
log%28%28x%29%29=%28y%2B1%29%2A1
y%2B1=log%28%28x%29%29
y=log%28%28x%29%29-1, the equation for the inverse of your given exponential function. BASE IS 2.

You can find a table of values for your given exponential function, since this is a very elementary level task. You will find a horizontal limit of y=0.


The given exponential function graph, BASE IS 2.
graph%28250%2C250%2C-5%2C9%2C-2%2C14%2C2%5E%28x%2B1%29%29

Domain and range switch for the inverse.
graph%28250%2C250%2C-5%2C9%2C-12%2C2%2Clog%282%2Cx-1%29%29
The system unfortunately is not fully displaying the inverse graph. The asymptote should be understood and appear as y=0, a vertical asymptote.