SOLUTION: 2(4^x+1) = 1 Solve for x. thanks.

Algebra ->  Exponential-and-logarithmic-functions -> SOLUTION: 2(4^x+1) = 1 Solve for x. thanks.      Log On


   



Question 92970: 2(4^x+1) = 1
Solve for x.
thanks.

Answer by jim_thompson5910(35256) About Me  (Show Source):
You can put this solution on YOUR website!
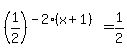
2%284%5E%28x%2B1%29%29+=+1

4%5E%28x%2B1%29+=+1%2F2 Divide both sides by 2

%28%281%2F2%29%5E%28-2%29%29%5E%28x%2B1%29+=+1%2F2 Rewrite 4 as %281%2F2%29%5E%28-2%29

%281%2F2%29%5E%28-2%28x%2B1%29%29+=+1%2F2 Multiply the exponents


%281%2F2%29%5E%28-2x-2%29+=+1%2F2 Distribute

%281%2F2%29%5E%28-2x-2%29+=+%281%2F2%29%5E1 Rewrite 1%2F2 as %281%2F2%29%5E1


Now that we have the same base, we can set the exponents equal to each other


-2x=1%2B2 Add 2 to both sides




-2+x=3 Combine like terms 2 and 1 on the right side to get 3





x=%283%29%2F%28-2%29 Now divide both sides by -2 to isolate and solve for x


x=+-3+%2F+2 Reduce



So our answer is
x=+-3+%2F+2

========================================================================
Check:

2%284%5E%28x%2B1%29%29+=+1 Start with the given equation

2%284%5E%28%28-3%2F2%29%2B1%29%29+=+1 Plug in x=-3+%2F+2

2%284%5E%28-1%2F2%29%29+=+1 Combine like terms

2%28sqrt%284%5E-1%29%29+=+1 Rewrite 4%5E%28-1%2F2%29 as sqrt%284%5E-1%29

2%28sqrt%281%2F4%29%29+=+1 Evaluate 4%5E-1 to get 1%2F4


2%281%2F2%29+=+1 Take the square root of 1%2F4 to get 1%2F2


1+=+1 Multiply. Since the two equations are equal, this verifies our answer.