SOLUTION: I need help - PLEASE I need to convert between logarithmic and exponential form: 1. log2 16 = 4 (to exponential) 2. log5 125 = 3 (same) 3. 10^-1 = 0.1 ( to logari

Algebra ->  Exponential-and-logarithmic-functions -> SOLUTION: I need help - PLEASE I need to convert between logarithmic and exponential form: 1. log2 16 = 4 (to exponential) 2. log5 125 = 3 (same) 3. 10^-1 = 0.1 ( to logari      Log On


   



Question 92941: I need help - PLEASE
I need to convert between logarithmic and exponential form:
1. log2 16 = 4 (to exponential)
2. log5 125 = 3 (same)
3. 10^-1 = 0.1 ( to logarithmic)
I need to evaluate these:
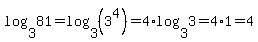
log3 81
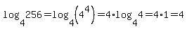
log4 256
I am lost - please help
LLO

Answer by psbhowmick(878) About Me  (Show Source):
You can put this solution on YOUR website!
1. 2%5E4+=+16
2. 5%5E3+=+125
3. log%2810%2C+0.1%29+=+-1
4. log%283%2C81%29+=+log%283%2C%283%5E4%29%29+=+4%2Alog%283%2C3%29+=+4%2A1+=+4
5. log%284%2C256%29+=+log%284%2C%284%5E4%29%29+=+4%2Alog%284%2C4%29+=+4%2A1+=+4